Hervé Seligmann a regardé s'il pouvait y avoir corrélation entre la mortalité et le délai écoulé entre deux injections.
Nous rappelons que ces données sont les premières à contenir des informations par individu et incluant le statut vaccinal !
Merci à Barry Young !

Voici sa publication : researchgate
En voici la traduction :
Une nouvelle analyse des données sur les injections de COVID19 provenant du lanceur d’alerte néozélandais Barry Young : des délais plus courts entre les injections COVID19 successives augmentent la mortalité.
Le bon sens médical suggère que des délais plus longs entre des vaccins successifs évitent les effets indésirables. Vraisemblablement, les effets indésirables résultent du cumul d’injections successives. Le métabolisme n’aurait pas eu le temps de détoxifier l’organisme depuis l’injection précédente. La vitesse du métabolisme diminuant avec l’âge, l’organisme se détoxifie plus lentement avec l’âge.
Des délais plus courts entre les injections sont nécessaires pour entraîner la mort des individus jeunes. Ces prédictions sont testées pour la mortalité après les injections de COVID19 à partir des données néo-zélandaises divulguées fin octobre 2023. On s'attend à des durées plus courtes entre les injections successives pour les défunts que pour les vivants, en particulier pour les plus jeunes.
En effet, on observe que les durées moyennes entre les paires d'injections successives de COVID19 (1 ere -> 2 ème , 2 ème -> 3 ème , 3 ème -> 4 ème et 4 ème -> 5 ème ) sont plus courtes pour les personnes décédées que pour les survivants pour la plupart des âges inférieurs à 80 ans. Les délais entre injections successives sont les plus courtes pour les âges inférieurs pour toutes les injections.
Cela suggère que une partie des effets indésirables, y compris la mort, aurait été évités grâce à des délais plus longs entre les injections successives, en particulier pour les âges inférieurs à 80 ans. Cela implique que la détoxification annulerait partiellement au fil du temps certains effets indésirables des injections de COVID19.
Cela soulève également des questions sur le nombre croissant de vaccins administrés aux enfants de moins de 2 ans dans de nombreux pays (Miller NZ, Goldman GS (20 juillet 2023). Doses de vaccins néonatales, infantiles et de moins de cinq ans administrées de manière routinière dans les pays développés et leur association avec les taux de mortalité. Voir étude Cureus plus bas.

Figure 1. Durée moyenne (jours) de la 1ère à la 2ème injection COVID19 pour les individus vivants soustraite de la durée moyenne pour les personnes décédées après la 2ème injection, en fonction de l'âge (années). Ligne jaune, aucune différence entre les durées. Les délais entre la 1ère et la 2ème injection sont les plus courts pour les personnes décédées par rapport aux survivants de moins de 70 ans, en particulier pour les plus jeunes.

Figure 2. Durée moyenne (jours) de la 2ème à la 3ème injection COVID19 pour les individus vivants soustraite de la durée moyenne pour les personnes décédées après la 3ème injection, en fonction de l'âge (années). Ligne jaune, aucune différence entre les durées. Les délais entre la 2ème et la 3ème injection sont les plus courts pour les personnes décédées par rapport aux survivants de moins de 80 ans, en particulier pour les plus jeunes.

Figure 3. Durée moyenne (jours) de la 3ème à la 4ème injection COVID19 pour les individus vivants soustraite de la durée moyenne pour les personnes décédées après la 4ème injection, en fonction de l'âge (années). Ligne jaune, aucune différence entre les durées. Les délais entre la 3ème et la 4ème injection sont les plus courts pour les personnes décédées par rapport aux survivants de moins de 95 ans, en particulier pour les plus jeunes.
CUREUS :
En 2011, en utilisant les données de 2009, nous avons publié une étude démontrant que parmi les pays les plus développés, les, ceux qui avaient besoin des doses de vaccin les plus élevées pour leurs nourrissons avaient tendance à avoir les taux de mortalité infantile les moins favorables (r = 0,70, p < .0001). Douze ans plus tard, nous avons reproduit notre étude originale en utilisant les données de 2019. L'analyse de régression linéaire a corroboré la tendance positive rapportée dans notre article initial (r = 0,45; <TAG1>; p < .002). Dans ce contexte, nous élargissons nos analyses pour examiner l'effet des vaccins sur les taux de mortalité néonatale et des moins de cinq ans.
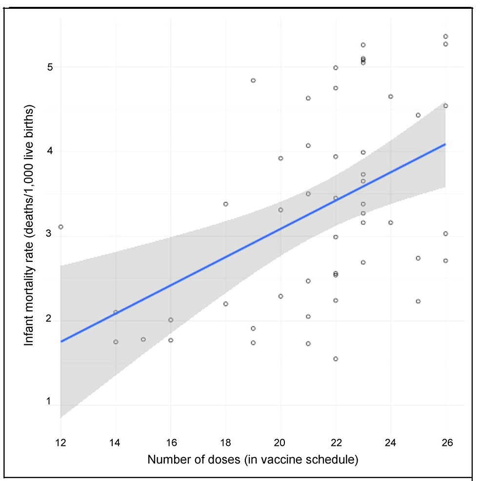
Figure 1: Répartition des taux de mortalité infantile par rapport au nombre de doses de vaccins infantiles, avec la ligne la mieux adaptée et la bande de confiance à 95% (région ombrée), 2021 (n = 50), r = 0,47 (p = .0005)
Douze ans plus tard, en utilisant les données de 2019 [8], nous avons trouvé une corrélation positive statistiquement significative r = 0,45 (p= .002), qui a corroboré la tendance positive rapportée dans notre étude initiale.
Environ 60 décès dans tous les groupes d'âge et 30 décès chez les nourrissons après la vaccination contre l'hépatite B sont signalés chaque année au US Vaccine Adverse Event Reporting System (VAERS). Cependant, ces chiffres sont probablement biaisés en raison de la sous-déclaration puisque les parents, ainsi que les médecins et les professionnels de la santé, apprennent à accepter les vaccins comme "sûrs et efficaces" et rejeter la possibilité qu'un décès pourrait être lié au vaccin. Il est peu probable que les coroners effectuent des examens post mortem approfondis nécessaires pour révéler la cause du décès liée à la vaccination contre l'hépatite B. En fait, un rapport préparé par Harvard Pilgrim Health Care pour les États-Unis. Le ministère de la Santé et des Services sociaux (HHS) a constaté que "moins de 1% des effets indésirables des vaccins sont signalés."
Environ 75% des décès néonatals surviennent au cours de la première semaine de vie, la même période de temps où les doses à la naissance des vaccins néonataux nécessaires sont administrés. La contribution mondiale des décès néonataux au taux de mortalité des moins de cinq ans est passée de 37% en 1990 à 47% en 2019.
Dans une étude antérieure, nous avons étudié les rapports VAERS d'hospitalisations et de mortalité chez les nourrissons. Les nouveau-nés vaccinés présentaient le taux d'hospitalisation le plus élevé (en proportion du total des déclarations de VAERS dans leur groupe d'âge): 20,1% (95% IC: 17,3 à 23,0). En outre, le taux de mortalité des nourrissons vaccinés âgés de moins de 6 mois était significativement plus élevé que celui des nourrissons vaccinés âgés de 6 mois à 1 an, RR = 3,0 (95% IC: 2,6 à 3,4).
En fait, une classification erronée des décès liés au vaccin selon d'autres classifications des causes de décès peut être inévitable, car les classifications des causes de décès associées à la vaccination des nourrissons n'existent pas. La liste officielle de 130 Causes choisies de Mort Infantile [45], compilé à partir de la Classification Internationale des Maladies (publié par l'Organisation Mondiale de la Santé) ne fournit pas de code médical pour la mortalité liée aux vaccins.
Il existe des corrélations positives statistiquement significatives entre les taux de mortalité néonatale, infantile et de moins de cinq ans des pays développés et le nombre de doses de vaccin administrées régulièrement. Lorsque les pays développés exigent deux doses de vaccin néonatal contre zéro, ou plusieurs doses de vaccin infantile, notre étude suggère qu'il peut y avoir des conséquences imprévues qui augmentent la mortalité toutes causes confondues. Il est recommandé de poursuivre l'étude des hypothèses générées par cette étude pour confirmer que les calendriers de vaccination actuels atteignent les objectifs visés.
l'étude complète : ici
Tous droits réservés (R) 2023-2026